12.1 一般規定
12.1.1 本條規定了消聲與隔振的設計原則。
供暖、通風與空氣調節系統產生的噪聲與振動只是建筑中噪聲和振動源的一部分。當系統產生的噪聲和振動影響到工藝和使用的要求時,就應根據工藝和使用要求,也就是各自的允許噪聲標準及對振動的限制,系統的噪聲和振動的頻率特性及其傳播方式(空氣傳播或固體傳播)等進行消聲與隔振設計,并應做到技術經濟合理。
12.1.2 本條規定了室內及環境噪聲標準。
室內和環境噪聲標準是消聲設計的重要依據。因此本條規定由供暖、通風和空氣調節系統產生的噪聲傳播至使用房間和周圍環境的噪聲級,滿足現行國家標準《工業企業設計衛生標準》GBZ 1、《工業企業噪聲控制設計規范》GB/T 50087、《民用建筑隔聲設計規范》GB 50118、《聲環境質量標準》GB 3096和《工業企業廠界噪聲排放標準》GB 12348等標準的要求。
12.1.3 本條規定了振動控制設計標準。
振動對人體健康的危害是很嚴重的。在供暖、通風與空氣調節系統中振動問題也是相當嚴重的。因此本條規定了振動控制設計應滿足現行國家標準《工業企業設計衛生標準》GBZ 1、《城市區域環境振動標準》GB 10070等的要求。
12.1.4 本條規定了降低風系統噪聲的措施。
本條規定了降低風系統噪聲應注意的事項。系統設計安裝了消聲器,其消聲效果也很好,但經消聲處理后的風管又穿過高噪聲房間,再次被污染,又回復到了原來的噪聲水平,最終不能起到消聲作用,這個問題過去往往被人們忽視。同樣道理,噪聲高的風管穿過要求噪聲低的房間時,它也會污染低噪聲房間,使其達不到要求。因此對這兩種情況必須引起重視。當然,必須穿過時還是允許的,但應對風管進行良好的隔聲處理,以避免上述兩種情況發生。
12.1.5 本條規定了風管內的空氣流速。
通風機與消聲裝置之間的風管,其風道無特殊要求時,可按經濟流速采用,根據國內外相關資料介紹,經濟流速為6m/s~13m/s。本條推薦采用8m/s~10m/s。
消聲裝置與房間之間的風管,其空氣流速不宜過大,因為空氣流速增大會引起系統內氣流噪聲和管壁振動加大,空氣流速增加到一定值后,產生的氣流再生噪聲甚至會超過消聲裝置后的計算聲壓級;風管內的空氣流速也不宜過小,否則會使風管的截面積增大,既耗費材料又占用較大的建筑空間,這也是不合理的。因此本條給出了適應四種室內允許噪聲級的主管和支管的空氣流速范圍。
12.1.6 本條規定了機房位置及噪聲源的控制。
通風、空氣調節與制冷機房是產生噪聲和振動的地方,是噪聲和振動的發源處,其位置應盡量不靠近有較高隔振和消聲要求的房間,否則對周圍環境影響頗大。
通風、空氣調節與制冷系統運行時,機房內會產生相當高的噪聲,一般為80dB(A)~100dB(A),甚至更高,遠遠超過環境噪聲標準的要求。為了防止對相鄰房間和周圍環境的干擾,本條規定了噪聲源位置在靠近有較高隔振和消聲要求的房間時,應采取有效措施。這些措施是在噪聲和振動傳播的途徑上對其加以控制。為了防止機房內噪聲源通過空氣傳聲和固體傳聲對周圍環境的影響,設計中應首先考慮采取把聲源和振源控制在局部范圍內的隔聲與隔振措施,如采用實心墻體、密封門窗、堵塞空洞和設置隔振器等,這樣做仍達不到要求時,再輔以降低聲源噪聲的吸聲措施。大量實踐證明,這樣做是簡單易行、經濟合理的。
12.1.7 本條規定了室外設備噪聲控制。
對露天布置的通風、空氣調節和制冷設備及其附屬設備。如冷卻塔、空氣源冷(熱)水機組等,其噪聲達不到環境噪聲標準要求時,亦應采取有效的降噪措施,如在其進、排風口設置消聲設備或在其周圍設置隔聲屏障等。
12.1.8 進、排風口是重點的噪聲源,其傳播設備噪聲并產生氣流噪聲,應引起注意。
12.2 消聲與隔聲
12.2.1 本條規定了噪聲源聲功率級的確定。
進行供暖、通風與空氣調節系統消聲與隔聲設計時,首先必須知道其設備,如通風機、空氣調節機組、制冷壓縮機和水泵等聲功率級,通過計算后再與室內、外允許的噪聲標準相比較,最終確定是否需要設置消聲和隔聲裝置。
12.2.2 本條規定了再生噪聲與自然衰減量的確定。
當氣流以一定速度通過直風管、彎頭、三通、變徑管、閥門和送、回風口等部件時,由于部件受氣流的沖擊湍振或因氣流發生偏斜和渦流,從而產生氣流再生噪聲。隨著氣流速度的增加,再生噪聲的影響也隨之加大,以至成為系統中的一個新噪聲源。所以應通過計算確定所產生的再生噪聲級,以便采取適當措施來降低或消除。
本條規定了在噪聲要求不高,風速較低的情況下,對于直風管可不計算氣流再生噪聲和噪聲自然衰減量。氣流再生噪聲和噪聲自然衰減量是風速的函數。
12.2.3 本條規定了設置消聲裝置的條件及消聲量的確定。
通風與空氣調節系統產生的噪聲量應盡量用風管、彎頭和三通等部件以及房間的自然衰減降低或消除。當這樣做不能滿足消聲要求時,則應設置消聲裝置或采取其他消聲措施,如采用消聲彎頭等。消聲裝置所需的消聲量應根據室內所允許的噪聲標準和系統的噪聲功率級分頻帶通過計算確定。
12.2.4 本條規定了選擇消聲設備的原則。
選擇消聲設備時,首先應了解消聲設備的聲學特性,使其在各頻帶的消聲能力與噪聲源的頻率特性及各頻帶所需消聲量相適應。如對中、高頻噪聲源,宜采用阻性或阻抗復合式消聲設備;對于低、中頻噪聲源,宜采用共振式或其他抗性消聲設備;對于脈動低頻噪聲源,宜采用抗性或微穿孔板阻抗復合式消聲設備;對于變頻帶噪聲源,宜采用阻抗復合式或微穿孔板消聲設備。其次,還應兼顧消聲設備的空氣動力特性,消聲設備的阻力不宜過大。
12.2.5 本條規定了消聲設備的布置原則。
為了減少和防止機房噪聲源對其他房間的影響,并盡量發揮消聲設備應有的消聲作用,消聲設備一般應布置在靠近機房的氣流穩定的管段上。當消聲器直接布置在機房內時,消聲器、檢查門及消聲器后至機房隔墻的那段風管應有良好的隔聲措施;當消聲器布置在機房外時,其位置應盡量臨近機房隔墻,而且消聲器前至隔墻的那段風管(包括拐彎靜壓箱或彎頭)也應有良好的隔聲措施,以免機房內的噪聲通過消聲設備本體、檢查門及風管的不嚴密處再次傳入系統中,使消聲設備輸出端的噪聲增高。
在有些情況下,如系統所需的消聲量較大或不同房間的允許噪聲標準不同時,可在總管和支管上分段設置消聲設備。在支管或風口上設置消聲設備,還可適當提高風管風速,相應減小風管尺寸。
12.2.6 本條規定了管道穿過圍護結構的處理。
管道本身會由于液體或氣體的流動而產生振動,當與墻壁硬接觸時,會產生固體傳聲,因此應使之與彈性材料接觸,同時也為防止噪聲通過孔洞縫隙泄露出去而影響相鄰房間及周圍環境。
12.3 隔 振
12.3.1 本條規定了設置隔振的條件。
通風、空調和制冷裝置運行過程中產生的強烈振動,如不予以妥善處理,將會對工藝設備、精密儀器等的工作造成影響,并且有害于人體健康,嚴重時還會危及建筑物的安全。因此本條規定當通風、空氣調節和制冷裝置的振動靠自然衰減不能達到允許程度時,應設置隔振器或采取其他隔振措施,這樣做還能起到降低固體傳聲的作用。
12.3.4 本條規定了選擇隔振器的原則。
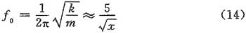
(1)從隔振器的一般原理可知,工作區的固有頻率或者說包括振動設備、支座和隔振器在內的整個隔振體系的固有頻率,與隔振體系的質量成反比,與隔振器的剛度成正比,也可以借助于隔振器的靜態壓縮量用下式計算;
式中:f0——隔振器的固有頻率(Hz);
k——隔振器的剛度(kg/cm2);
m——隔振體系的質量(kg);
x——隔振器的靜態壓縮量(cm);
π——圓周率。
振動設備的擾動頻率取決于振動設備本身的轉速,即:
式中:f——振動設備的擾動頻率(Hz);
n——振動設備的轉速(r/min)。
隔振器的隔振效果一般以傳遞率表示,它主要取決于振動設備的擾動頻率與隔振器的固有頻率之比,如忽略系統的阻尼作用,其關系式為:

式中:T——振動傳遞率。
由式(16)可以看出,當f/f0趨近于0時,振動傳遞率接近于1,此時隔振器不起隔振作用;當f=f0時,傳遞率趨于無窮大,表示系統發生共振,這時不僅沒有隔振作用,反而使系統的振動急劇增加,這是隔振設計必須避免的;只有當f/f0>
時,亦即振動傳遞率小于1,隔振器才能起作用,其比值愈大,隔振效果愈好。雖然在理論上,f/f0愈大愈好,但因設計很低的f0,不但有困難、造價高,而且當f/f0>5時,隔振效果提高得也很緩慢,通常在工程設計上選用f/f0=2.5~5。因此規定設備運轉頻率(即擾動頻率或驅動頻率)與隔振器的固有頻率之比應大于或等于2.5。
彈簧隔振器的固有頻率較低(一般為2Hz~5Hz),橡膠隔振器的固有頻率較高(一般為5Hz~10Hz),為了發揮其應有的隔振作用,使f/f0=2.5~5,因此本規范規定當設備轉速小于或等于1500r/min時,宜選用彈簧隔振器;設備轉速大于1500r/min時,宜選用橡膠等彈性材料墊塊或橡膠隔振器。對彈簧隔振器適用范圍的限制并不意味著它不能用于高轉速的振動設備,而是因為采用橡膠等彈性材料已能滿足隔振要求,而且做法簡單,比較經濟。
原規范規定設備運轉頻率與彈簧隔振器或橡膠隔振器垂直方向的固有頻率之比應大于或等于2,本次修訂改為2.5意味著隔振效率從67%提高到80%。各類建筑由于允許噪聲的標準不同,因而對隔振的要求也不盡相同。由設備隔振而使與機房毗鄰房間內的噪聲降低量NR可由經驗公式(19)得出:
允許振動傳遞率T隨著建筑和設備的不同而不同,對于生產廠房、倉庫等,振動傳遞率T值宜在0.5~0.6之間。
(2)為了保證隔振器的隔振效果并考慮某些安全因素,橡膠隔振器的計算壓縮變形量一般按制造廠提供的極限壓縮量的1/3~1/2采用;橡膠隔振器和彈簧隔振器所承受的荷載均不應超過允許工作荷載;由于彈簧隔振器的壓縮變形量大,阻尼作用小,其振幅也較大,當設備啟動與停止運行通過共振區而其共振振幅達到最大時,有可能對設備及基礎起破壞作用。因此條文中規定,當共振振幅較大時,彈簧隔振器宜與阻尼大的材料聯合使用。
(3)當設備的運轉頻率與彈簧隔振器或橡膠隔振器垂直方向的固有頻率之比為2.5時,隔振效率約為80%,自振頻率之比為4~5時,隔振效率大于93%,此時的隔振效果才比較明顯。在保證穩定性的條件下,應盡量增大這個比值。根據固體聲的特性,低頻聲域的隔聲設計應遵循隔振設計的原則,即仍遵循單自由度系統的強迫振動理論,高頻聲域的隔聲設計不再遵循單自由度系統的強迫振動理論,此時必須考慮到聲波沿著不同介質傳播所發生的現象,這種現象的原理是十分復雜的,它既包括在不同介質中介封上的能量反射,也包括在介質中被吸收的聲波能量。根據上述現象及工程實踐,在隔振器與基礎之間再設置一定厚度的彈性隔振墊,能夠減弱固體聲的傳播。
12.3.5 本條規定了對隔振臺座的要求。
加大隔振臺座的質量及尺寸等是為了加強隔振基礎的穩定性和降低隔振器的固有頻率,提高隔振效果。設計安裝時,要使設備的重心盡量落在各隔振器的幾何中心上,整個振動體系的重心要盡量低,以保證其穩定性。同時應使隔振器的自由高度盡量一致,基礎底面也應平整,使各隔振器在平面上均勻對稱,受壓均勻。
12.3.6、12.3.7 這兩條規定了減緩固體傳振和傳聲的措施。
為了減緩通風機和水泵設備運行時,通過剛性連接的管道產生的固體傳振和傳聲,同時防止這些設備設置隔振器后,由于振動加劇而導致管道破裂或設備損壞,其進、出口宜采用軟管與管道連接。這樣做還能加大隔振體系的阻尼作用,降低通過共振時的振幅。同樣道理,為了防止管道將振動設備的振動和噪聲傳播出去,支、吊架與管道間應設彈性材料墊層。管道穿過機房圍護結構處,其與孔洞之間的縫隙應使用具備隔聲能力的彈性材料填充密實。
12.3.8 這兩條規定了浮筑雙隔振臺座的適用條件。
一般采用預制混凝土板作為設備的配重,安裝于設備減振臺座和樓板之間,預制混凝土板和樓板之間再設橡膠減振墊,因此稱為“浮筑雙隔振臺座”。通過這種減振方式,實質上降低了設備的重心,改變了設備的固有振動頻率,措施得當時能起到較好的效果。
電子光學案例
PURIFICATION CASE
生物制藥案例
PURIFICATION CASE
醫療器械案例
PURIFICATION CASE
食品日化案例
PURIFICATION CASE